https://leetcode.com/problems/convert-sorted-array-to-binary-search-tree/
Given an integer array nums where the elements are sorted in ascending order, convert it to a height-balanced binary search tree.
A height-balanced binary tree is a binary tree in which the depth of the two subtrees of every node never differs by more than one.
Example 1:

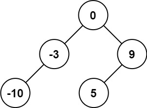
Input: nums = [-10,-3,0,5,9]
Output: [0,-3,9,-10,null,5]
Explanation: [0,-10,5,null,-3,null,9] is also accepted:
Example 2:

Input: nums = [1,3]
Output: [3,1]
Explanation: [1,null,3] and [3,1] are both height-balanced BSTs.
這題根據子樹排序的方式有多種的解答
方法一的方式為
Choose Left Middle Node as a Root (每次挑選中間值時都選偏左的)
input: [-10, -3, 0, 5, 9]
ans: [0, -10, 5, null, -3, null, 9]
Runtime: 129 ms, faster than 15.88% of JavaScript online submissions for Convert Sorted Array to Binary Search Tree.
Memory Usage: 44.6 MB, less than 53.40% of JavaScript online submissions for Convert Sorted Array to Binary Search Tree.
Choose Right Middle Node as a Root (每次挑選中間值時都選偏左的)
input: [-10, -3, 0, 5, 9]
ans: [0, -3, 9, -10, null, 5]
Runtime: 92 ms, faster than 64.34% of JavaScript online submissions for Convert Sorted Array to Binary Search Tree.
Memory Usage: 44.9 MB, less than 30.59% of JavaScript online submissions for Convert Sorted Array to Binary Search Tree.