124. Binary Tree Maximum Path Sum
Leetcode
題目
Input: root = [1,2,3]
Output: 6
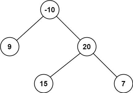
Explanation: The optimal path is 2 -> 1 -> 3 with a path sum of 2 + 1 + 3 = 6.Input: root = [-10,9,20,null,null,15,7]
Output: 42
Explanation: The optimal path is 15 -> 20 -> 7 with a path sum of 15 + 20 + 7 = 42.解答
Last updated

