297. Serialize and Deserialize Binary Tree
Leetcode
https://leetcode.com/problems/serialize-and-deserialize-binary-tree/
題目
Serialization is the process of converting a data structure or object into a sequence of bits so that it can be stored in a file or memory buffer, or transmitted across a network connection link to be reconstructed later in the same or another computer environment.
Design an algorithm to serialize and deserialize a binary tree. There is no restriction on how your serialization/deserialization algorithm should work. You just need to ensure that a binary tree can be serialized to a string and this string can be deserialized to the original tree structure.
Clarification: The input/output format is the same as how LeetCode serializes a binary tree. You do not necessarily need to follow this format, so please be creative and come up with different approaches yourself.
Example 1:

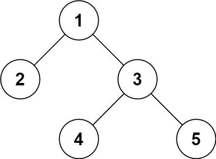
Input: root = [1,2,3,null,null,4,5]
Output: [1,2,3,null,null,4,5]Example 2:
Input: root = []
Output: []解答
方法一
用 BFS 的方式存 tree nodes
ex.
input => [1,2,3,null,null,4,5,6,7]
serialize => [1,2,3,null,null,4,5,null,null,null,null,6,7,null,null] (把所有空的子節點填 null)
deserialize =>[1,2,3,null,null,4,5,6,7]
但是這種方式如果很多節點都是 null,高度很深的樹的話會有問題,會存放很多不必要的 null 節點
[1,null,2,null,3,null,4,null,5,null,6,null,7,null,8,null,9,null,10...] => 像這種樹就會 TLE
Time Limit Exceeded
方法二
使用 DFS 的方法
ex.
input => [1,2,3,null,null,4,5,6,7]
DFS => [1,2,3,4,6,7,5]
serialize => [1,2,null,null,3,4,6,null,null,7,null,null,5,null,null]
arr => [ '1', '2', 'null', 'null', '3', '4', '6', 'null', 'null', '7', 'null', 'null', '5', 'null', 'null', '' ]
deserialize =>[1,2,3,null,null,4,5,6,7]
Runtime: 189 ms, faster than 42.05% of JavaScript online submissions for Serialize and Deserialize Binary Tree.
Memory Usage: 53.9 MB, less than 40.42% of JavaScript online submissions for Serialize and Deserialize Binary Tree.
Last updated