129. Sum Root to Leaf Numbers
Leetcode
題目
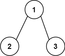
Input: root = [1,2,3]
Output: 25
Explanation:
The root-to-leaf path 1->2 represents the number 12.
The root-to-leaf path 1->3 represents the number 13.
Therefore, sum = 12 + 13 = 25.è§£ç”
Last updated

