160. Intersection of Two Linked Lists
Leetcode
https://leetcode.com/problems/intersection-of-two-linked-lists/
題目
Given the heads of two singly linked-lists headA and headB, return the node at which the two lists intersect. If the two linked lists have no intersection at all, return null.
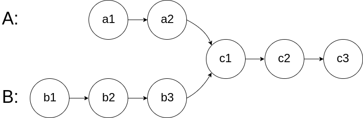
For example, the following two linked lists begin to intersect at node c1:

The test cases are generated such that there are no cycles anywhere in the entire linked structure.
Note that the linked lists must retain their original structure after the function returns.
Custom Judge:
The inputs to the judge are given as follows (your program is not given these inputs):
intersectVal- The value of the node where the intersection occurs. This is0if there is no intersected node.listA- The first linked list.listB- The second linked list.skipA- The number of nodes to skip ahead inlistA(starting from the head) to get to the intersected node.skipB- The number of nodes to skip ahead inlistB(starting from the head) to get to the intersected node.
The judge will then create the linked structure based on these inputs and pass the two heads, headA and headB to your program. If you correctly return the intersected node, then your solution will be accepted.
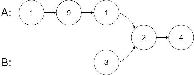
Example 1:

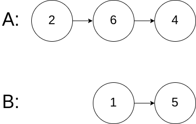
Example 2:

Example 3:

解答
方法一
hashmap 法
方法二
two pointer
用 pA、pB 遍歷 linked list,pA 遍歷到底時指向 headB,pB 遍歷到底時指向 pA,如此在遍歷第二輪時兩個 pointer 就可以指向同一個順序的元素,此時就只要比較 pA, pB 是否相等即可
Runtime: 178 ms, faster than 14.66% of JavaScript online submissions for Intersection of Two Linked Lists.
Memory Usage: 45.1 MB, less than 98.88% of JavaScript online submissions for Intersection of Two Linked Lists.
Last updated