83. Remove Duplicates from Sorted List
Leetcode
題目
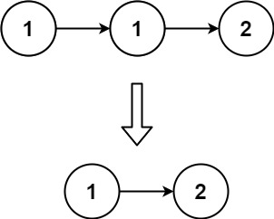
Input: head = [1,1,2]
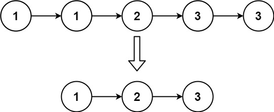
Output: [1,2]Input: head = [1,1,2,3,3]
Output: [1,2,3]è§£ç”
var deleteDuplicates = function(head) {
let start = head;
while(head && head.next) {
if(head.next.val === head.val) {
head.next = head.next.next
} else {
head = head.next;
}
}
return start;
};Last updated

